תקציר – אנטנות פלזמה משמשות לשידור וקליטה. הן מסוגלות לקבל נתונים בטווח תדרים רחב (500 מגה-הרץ – 20 גיגה-הרץ). אנטנת הפלזמה מתבססת על צינור דיאלקטרי בעל חתך מכ"ם קטן, מה שהופך אותה למעשה לבלתי נראית למכ"ם וחסרת פיזור אלקטרומגנטי. ניתן להגדיר את אנטנת הפלזמה כך שאותות לוחמה אלקטרונית בתדר גבוה יעברו דרכה ללא אינטראקציה משמעותית, תוך כדי קליטת אותות בתדר נמוך יותר. בדיקות נתונים ומדידות יכולות להתבצע ביעילות באמצעות אנטנות פלזמה. טכנולוגיית אנטנת הפלזמה מבוססת על רכיבי פלזמה במקום על חוטים או מוליכים מתכתיים מסורתיים. היתכנות אנטנת הפלזמה נובעת מהולכת החשמל של הפלזמה, הנוצרת על ידי אלקטרונים חופשיים בתהליך יינון גז, בעקבות החלת שדה אלקטרומגנטי עוצמתי. הבסיס העקרוני של אנטנת פלזמה הוא השימוש במדיום מיונן כמוליך. פלזמה מוגדרת כאוסף חלקיקים קוואזי – ניטרליים עם נושאי מטען חשמלי חופשיים המתנהגים באופן קולקטיבי.
- מבנה ופעולת אנטנת פלזמה
אנטנת פלזמה היא סוג של אנטנת RF שבה משתמשים בפלזמה במקום באלמנטים ממתכת של אנטנה מסורתית. אנטנת פלזמה יכולה לשמש הן לשידור והן לקליטה. באנטנות פלזמה נעשה שימוש בגז מיונן חלקית או מלא המשמש כחומר מוליך במקום מתכת ליצירת אנטנה. היתרונות של אנטנות פלזמה הם שהן ניתנות להגדרה מחדש בקלות וניתן להדליקן ולכבותן. אחת המטרות היא להפחית את ההספק הנדרש ליינון הגז בצפיפות פלזמה שונות, והדבר הושג באמצעות טכניקות שונות, כולל טכניקות פולס. הדרישות להספק בתפעול אנטנות פלזמה ממשיכות לרדת. אותם תהודות גיאומטריות החלות על אנטנות מתכת חלות גם על אנטנות פלזמה. אנטנות פלזמה באותו צורה, אורך ותדר כמו אנטנות מתכת מקבילות מפיקות אותן דפוסי קרינה. יתרון נוסף של אנטנת פלזמה הוא יכולת ההגדרה מחדש.אנטנת פלזמה הניתנת להגדרה מחדש היא מבנה עם עמוד פלזמה ארוך המוסע ע״י גל שטח, אשר מתפקד כאנטנת פלזמה. על ידי שינוי פרמטרי התפעול של אנטנת הפלזמה (לחץ, תדר ההנעה, הספק קלט, רדיוס צינור הזכוכית, אורך עמוד הפלזמה וגז הארגון), ניתן להפוך אנטנת פלזמה יחידה (עמוד פלזמה) למספר אלמנטים קטנים של אנטנה (בועות פלזמה). פרמטרי התפעול שולטים במספר האלמנטים, באורכם ובמרחק ביניהם. את כל המבנה של חלקי האנטנה ניתן להתייחס אליו כאל מערך מופע (phased array) של אנטנת פלזמה אנכית רחבת חזית, המפיקה דפוס קרינה מכוּון יותר מאשר אנטנת פלזמה יחידה, וכן ניתן לשלוט בתכונות הפיזיקליות ובכיווניות של האנטנה באמצעות פרמטרי התפעול. היתרונות של אנטנת פלזמה לעומת אנטנה קונבנציונלית הם בכך שניתן ליצור אנטנות שונות על ידי כיוונון פרמטרי התפעול. פלזמה יכולה להיווצר באמצעות יינון כתוצאה מהתנגשות אלקטרונים, יינון פוטונים או פשוט על ידי חימום הגז. האזור שמחוץ לנדן נקרא העמוד החיובי, שבו קיימת פלזמה אחידה. מאפייני הגל האלקטרומגנטי המתקדם בתוך הפלזמה קשורים באופן הדוק ליחס המקדם הדיאלקטרי של הפלזמה ξ,
שמתואר ע"י
ו – .
∞εמוגדר כקבוע הדיאלקטרי היחסי בתדר אינסופי.
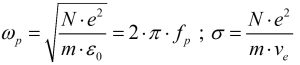
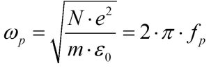
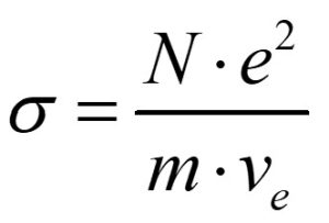
מוגדר כתדירות התנגשויות. משוואת תדר הפלזמה . 
Ν מוגדרת כצפיפות הפלזמה, m היא מסת האלקטרון, ƒρ היא התדירות העצמית של הפלזמה. משוואת 
מייצגת את משוואת המוליכות של הפלזמה.
![]()
צינור דיאלקטרי לפלזמה" ניתן לתאר כמערכת שבה חומר דיאלקטרי, לרוב בצורת צינור, מכיל פלזמה או מוקף בפלזמה. תצורה זו יכולה לשמש ליצירת מוליכי גל (waveguides) הניתנים לקונפיגורציה חשמלית עבור מערכות תקשורת מתקדמות, כאשר צפיפות הפלזמה ותכונות החומר הדיאלקטרי משפיעות על אופן התפשטות הגל (איור 1).

איור 1: צינור דיאלקטרי לפלזמה (עמודת פלזמה).
אנטנת פלזמה המופעלת על ידי סרפאגייד" היא סוג של אנטנת פלזמה גזית, שבה נעשה שימוש במבנה סרפאגייד (surfaguide) ליצירת עמוד פלזמה מוליך ולשימורו באמצעות אנרגיית מיקרוגל. הסרפאגייד פועל כמפעיל גל שטח (surface wave launcher) אשר יוצר עמוד פלזמה בתוך צינור מבודד, שמשמש לאחר מכן כאנטנה הניתנת לקונפיגורציה, בעלת יעילות גבוהה, שיכולה לשדר ולקלוט אותות אלקטרומגנטי (איור 2).

איור 2: תצורה של אנטנת פלזמה המופעלת על ידי סרפאגייד.
הסרפטרון (Surfatron) הוא מקור הפלזמה ומורכב מתהודת מיקרוגל (Surfatron) סביב צינור קוורץ המכיל פלזמה. הסרפטרון כולל חריץ פנימי שמאפשר צימוד של אנרגיה אלקטרומגנטית לפלזמה באמצעות גלי שטח. גלי השטח נעים לאורך צינור הקוורץ, ומאפשרים יצירת פלזמה הרחק יותר ממקור הסרפטרון, תוך כדי התקדמות עצמית-עקבית של גל השטח. עמודת הפלזמה מסתיימת כאשר אין מספיק אנרגיה כדי לשמר אותה. העיקרון שמאחורי מודל הפלזמה הנוזלית הוא הצגת האלקטרונים, היונים והמינים המעוררים כזרם טעון חסר מסה, עם מאפיינים מסוימים. מכיוון שהפלזמה מייננת באופן חלש, המודל צריך להתחשב גם במאפיינים של הגז הניטרלי. בעת מידול עמודת הפלזמה (באמצעות מודלים הידרודינמיים), אנו מזהים שני מודלים טיפוסיים: מודל הפלזמה ומודל השדה האלקטרומגנטי.
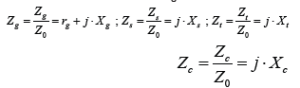
- מעגל שקול מסוג מוביל גלים לאנטנת פלזמה במודל סורפטרון
מעגל השקול של מוביל הגלים מסוג סורפטרון מתאים להתפלגות המשוערת של השדה החשמלי באזור הסמוך למישור הייחוס. המעגל השקול מייצג את התופעות המתרחשות בתוך מקור הפלזמה. רכיבי המעגל מתייחסים לאנרגיה אלקטרומגנטית שנאגרת או מתבזבזת במערכת. ניתן לבצע איזון אנרגיה, ומאפייני התגובה של מקור הפלזמה מתקבלים באמצעות שיטות ניתוח מעגלים, במקום לפתור את כל מערך משוואות השדה האלקטרומגנטי. על ידי הצבה של מודל פשוט של מקור הפלזמה, ניתן לקבוע מתי קוטר המוליך החיצוני של הקואקס קטן לעומת רוחב מוביל הגלים. כל העכבות במעגל השקול מתייחסות למישור ייחוס יחיד, שמתלכד עם הציר של המקטע הקואקסיאלי. המעגל השקול מתאים להתפלגות המשוערת של השדה החשמלי באזור הסמוך למישור הייחוס (איור 3).

איור 3: המעגל השקול של מוביל גלים מסוג סורפטרון מתאים להתפלגות המשוערת של השדה החשמלי באזור הסמוך למישור הייחוס.
הספק הגל במעגל המיקרוגל מייצג את גל ההולכה מסוג Surfatron, כאשר קיימים: P1 הספק נכנס,
הספק מוחזר ו –
הספק נבלע.
Zg מייצג את האימפדנס של הרווח (Gap) הטעון בפלזמה, והוא כולל את ההשפעה של ההספק המועבר על-ידי גלי שטח המשוגרים מאזור הרווח לאורך צינור הפריקה בשני הכיוונים. האימפדנס Zs מייצג את השפעת השרוול (Sleeve) בגל ההולכה. השרוול מוסיף מוד רזוננטי נוסף, והעיצוב מסוגל לכסות את כל תחום התדרים של מוביל הגלים. מחבר מוביל הגלים (Waveguide Connector) מוגדר כך שיקבל גל-מנחה בכיוון ראשון או בכיוון שני. הכיוון השני מתקבל על-ידי סיבוב הגל-מנחה מהכיוון הראשון ב־45° או ב־90° כדי לשנות את הקיטוב. הרכבת מחבר מוביל הגלים כוללת שרוול נע בעל קצה ראשון, קצה שני, גוף ומשטח אחיזה. Ztו ־ Zc הם האימפדנסים בכניסה של קטעי מוביל הגלים ושל הקואקס, בהתאמה כאשר מסתיים בקצר חשמלי. שני האימפדנסים האחרונים משתנים בנפרד על ־ ידי התאמת מיקומם של הבוכנות הנעות המתאימות להם.
אנו מניחים שאין אובדן הספק במבנה, ולכן האימפדנס האופייני Z0 של מוביל הגלים ו־ Z0c של הקטע הקואקסיאלי הם גדלים ממשיים.
האימפדנסים האופייניים Z0 ו־ Z0c נקבעים על־פי ממדי המבנה. במקרה של Z0 (האימפדנס האופייני של מוביל הגלים), הוא נקבע על־פי התדר המיושם. כל האימפדנסים נחשבים כחסרי הפסדים (מדומים) למעט Zg.
האימפדנס Zgהוא גודל מרוכב, והוא לוקח בחשבון גם את צריכת ההספק הנדרשת לשימור עמוד הפלזמה (החלק הממשי), וגם את האנרגיה האגורה באזור הרווח (החלק המדומה). האימפדנס הוא גודל מרוכב, והוא לוקח בחשבון הן את צריכת ההספק הנדרשת לשימור עמוד הפלזמה (החלק הממשי) והן את האנרגיה האגורה באזור הרווח (החלק המדומה).
האימפדנסים המרכיבים את המעגל השקול מנורמלים ביחס ל ־ Z0.


הוא האימפדנס הכולל במישור הייחוס, והמוליכות המתאימה היא
. זוהי מוליכות הכניסה של המבנה וניתן לנרמל אותה.

![]()
![]()
מוגדר כאורך קו התמסורת הקואקסיאלי.
זהו ערך מתוקן לשדה השוליים, שהתקבל מאורך קו התמסורת הנמדד
.
זו אורך הגל ברִיק. כמות הקרינה הנפלטת מפתח המשגר אל המרחב הסובב, כגל חלל ולא כגל משטח, היא זניחה ואינה נכללת במאזן האנרגיה. ההגדרה הטיפוסית היא שהבוכנה במוביל הגלים מכוּונת למינימום של ההספק המוחזר. הגדרה זו תואמת לאורך מרבי של עמוד הפלזמה שהתקבל, שהוא תנאי הכרחי להתקן בעל הפסדים נמוכים.
Reference
- Aluf, Advanced Microwave RF Antennas and Circuits, Nonlinearity Applications in Engineering, Springer, Edition 2, 2025, In two Volumes, ISBN: 978-3-031-58699-6, EAN: 9783031586996.
https://link.springer.com/book/9783031586996




