כיצד להבין את מושגי וסת low-dropout (LDO) כדי להשיג תכנונים מיטביים

וסתי ניתוקים נמוכים (low-dropout – LDOs) הם התקנים פשוטים לכאורה הממלאים תפקידים קריטיים כגון בידוד של עומס ממקור מזוהם או יצירת מקור בעל רעש נמוך עבור מעגל רגיש-להספק.

עזרון (tutorial) קצר זה מציג כמה מושגים מקובלים המשמשים עם ה-LDOs, ומסביר מושגי-יסוד כגון מתח ניתוק (dropout), מתח מרווח-גובה (headroom), זרם ריקם (quiescent), זרם הארקה, זרם השבתה (shutdown), יעילות, ויסות קו-ועומס dc, היענות מעבר לקו-ועומס, יחס דחיית ספק-הכוח (power-supply rejection ratio – PSRR), רעש מוצא ודיוק, תוך שימוש בדוגמאות וגרפים כדי להקל על ההבנה.

LDOs נבחרים בדרך כלל מאוחר בשלב התכנון תוך ניתוח מועט. המושגים המוצגים כאן יאפשרו למתכננים לבחור את ה-LDO הטוב ביותר המבוסס על דרישות המערכת.

מתח ניתוק

מתח ניתוק (VDROPOUT) הוא הפרש המתח מבוא למוצא בו ה-LDO כבר לא מסוגל לווסת כנגד הפחתות נמשכות במתח המבוא. באזור הניתוק, רכיב המעבר (pass element), פועל כנגד בעל ערך שווה להתנגדות גע (on) קולט-למקורdrain-to-source on resistance – RDSON) ). מתח הניתוק, המבוטא במונחים של RDSON וזרם העומס, הוא

VDROPOUT=ILOAD x RDSON

RDSON כולל התנגדות מרכיב המעבר, חיבורים על-השבב, מוליכים וחוטי קישור, וניתן להעריכו על-ידי מתח הניתוק של ה-LDO. לדוגמה, ל-ADP151 ב-WLCSP יש מתח ניתוק של המקרה הגרוע ביותר של 200 מילי-וולט עם עומס של 200 מילי-אמפר, כך שה-RDSON הוא בערך 1.0 אוהם. איור 1 מראה סכימה מפושטת של LDO. בניתוק, הנגד המשתנה הוא קרוב לאפס. ה-LDO אינו יכול לווסת את מתח המוצא, כך שלפרמטרים אחרים, כמו ויסות קו-ועומס, דיוק, PSRR ורעש אין משמעות.

 

איור 2 מציג את מתח המוצא כנגד מתח המבוא של ה-LDO3.0-V ADM7172. מתח הניתוק הוא בצורה אופיינית 172 מילי-וולט ב-2 אמפר, כך שה-RDSON הוא כ-86 מילי-אוהם. אזור הניתוק משתרע ממתח מבוא של 3.172 וולט עד 2.3 וולט. מתחת ל-2.3 וולט, ההתקן איננו מתפקד. בזרמי עומס קטנים יותר, מתח הניתוק הוא יותר נמוך יחסית; ב-1 אמפר, מתח הניתוק הוא 86 מילי-וולט. מתח ניתוק נמוך מרבב את יעילות הוסת.

 

מתח מרווח-הגובה

מתח מרוח-הגובה הוא הפרש המתחים מבוא-למוצא הדרוש ל-LDO כדי להיענות למפרט שלו.

דף הנתונים מראה בד"כ את מתח מרווח-הגובה בתור תנאי בו יתר הפרמטרים מוגדרים. מתח מרווח-הגובה הוא לרוב מסביב ל-400 מילי-וולט עד 500 מילי-וולט, אךLDOs  אחדים דורשים עד כדי 1.5 וולט. אין לבלבל בין מתח מרווח-הגובה  ומתח הניתוק, מאחר שהם שווים רק כאשר ה-LDO נמצא בניתוק.

זרם ריקם וזרם הארקה

זרם ריקם (IQ) הוא הזרם הדרוש כדי להזין את המעגל הפנימי של ה-LDOs כאשר זרם העומס החיצוני הוא אפס. הוא כולל את זרמי ההפעלה של ייחוס חריץ הפס, מגבר השגיאה, מחלק מתח המוצא ומעגלי החישה של זרם-היתר וטמפרטורת היתר. כמות זרם הריקם נקבעת על-ידי הטופולוגיה, מתח המבוא וטמפרטורה.

IQ=IIN @ no load

זרם הריקם של ה-LDOADP160 הוא כמעט קבוע בשעה שמתח המבוא משתנה בין 2 וולט ו-5.5 וולט, כמתואר באיור 3.

זרם ההארקה (Ground current –IGND) הוא ההפרש בין זרמי המבוא והמוצא, והוא כולל בהכרח את זרם הריקם. זרם הארקה נמוך ממרב את יעילות ה-LDO.

IGND=IIN-IOUT

איור 4 מראה את שינוי זרם ההארקה לעומת זרם העומס עבור ה-ADP160 LDO.

 

עבור LDOs עםCMOS  בעלי ביצועים גבוהים, זרם ההארקה הוא אופיינית הרבה פחות מ-1% מזרם העומס. זרם ההארקה עולה עם זרם העומס מאחר שהזנת השער אל מרכיב המעבר של ה-PMOS צריכה לגדול כדי לפצות עבור מפל המתח הנגרם על-ידי ה-RON שלה. באזור הניתוק, זרם ההארקה עשוי גם לעלות מאחר שדרגת ההזנה מתחילה להיכנס לרוויה. LDOsCMOS הם חיוניים ביישומים בהם צריכת זרם נמוכה או זרמי משוב קטנים הם קריטיים.

זרם השבתה Shutdown Current) )

זרם השבתה הוא זרם המבוא הנצרך על-ידי ה-LDO כאשר המוצא מנותק. מגברי הייחוס והשגיאה אינם מוזנים במוד ההשתקה. זרמי זליגה גבוהים יותר גורמים לזרם ההשבתה לעלות עם הטמפרטורה, כמתואר באיור 5.

יעילות

היעילות של LDO נקבעת על-ידי זרם ההארקה ומתחי המבוא/מוצא:

Efficiency=IOUT/(IOUT+IGND) x VOUT/VIN x 100%

כדי להשיג יעילות גבוהה, מתח מרווח הגובה וזרם ההארקה צריכים להיות ממוזערים. בנוסף, הפרש המתחים בין המבוא והמוצא חייב להיות מזערי. הפרש המתח מבוא-למוצא הוא גורם קובע לשם קביעת היעילות, ללא קשר לתנאי העומס. לדוגמה, היעילות של LDO של 3.3 וולט לא תעלה לעולם על 66% כאשר הוא מוזן ב-5 וולט, אך תעלה למרב של 91.7% כאשר מתח המבוא נופל עד 3.6 וולט. פיזור ההספק של LDO הוא           (VIN-VOUT) x IOUT.

ויסות העומס DC

ויסות העומס הוא מדידה של יכולת ה-LDO לשמור על מתח המוצא המוגדר תחת תנאי עומס משתנים. ויסות העומס, המוצג באיור 6, מוגדר כ-

Load regulation=ΔVOUT/ΔIOUT

ויסות קו ה-DC

ויסות הקו הוא מדידה של יכולת ה-LDO לשמור על מתח המוצא המוגדר תוך כדי שינויים של מתח המבוא. ויסות הקו מוגדר כ-

Line regulation= ΔVOUT/ΔVIN

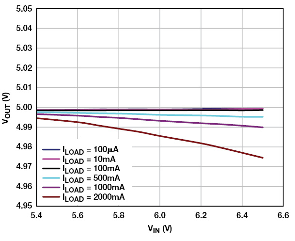
איור 7 מראה את מתח המוצא של ה-ADM7172 כנגד מתח המבוא בזרמי עומס שונים. ויסות הקו משתבש בשעה שזרם העומס עולה מאחר ששבח הלולאה הכולל של ה-LDO יורד. כמו כן, פיזור ההספק של ה-LDO עולה ככל שהפרש המתחים בין מבוא למוצא עולה. דבר זה גורם לטמפרטורת הצמד לעלות ובמקרה זה, מתח חריץ הפס ומתחי ההיסט הפנימי לרדת.

דיוק ה-DC

הדיוק הכולל מתייחס להשפעות ויסות הקו והעומס, סחיפת מתח הייחוס וסחיפת מתח מגבר השגיאה. שינוי במתח המוצא בספק-כוח מווסת נובע בעיקר משינוי הטמפרטורה של מתח הייחוס ומגבר השגיאה. אם משתמשים בנגדים דיסקרטיים כדי לקבוע את מתח המוצא, אפיצות הנגדים עשויה להיות התורם העיקרי לדיוק הכולל. ויסות הקו והעומס והיסטים של מגבר השגיאה תורמים בד"כ ל- 1% עד 3% מהדיוק הכולל.

לדוגמה, נחשב את הדיוק הכולל של LDO3.3 וולט במהלך השינוי מ-00C עד 1250C עם תכונות הפעולה הבאות: ±100 ppm/0C מקדם טמפרטורת הנגד, ±0.25% אפיצות נגד הדגימה, ±10mV ו-±5mV שינוי במתח המוצא בשל ויסות העומס וויסות הקו, בהתאמה, ודיוק ייחוס של 1%.

שגיאה בגין הטמפרטורה= 1250C x±100 ppm/0C=±1.25%

שגיאה בשל נגד הדגימה= ±0.25%

שגיאה בשל ויסות העומס= 100% x (±0.01V/3.3 V) =± 0.303%

שגיאה בשל ויסות הקו= 100% x (±0.005 V/3.3 V) =±0.152%

שגיאה בשל הייחוס= 1%±

השגיאה במקרה הגרוע ביותר מניחה שכל השגיאות משתנות באותו הכיוון.

השגיאה במקרה הגרוע ביותר=

±(1.25% + 0.25% + 0.303% + 0.152% + 1%)= ± 2.955%

שגיאה טיפוסית מניחה שינויים אקראיים, כך שמשתמשים בסכום ריבוע השורשים (root square sum-rss).

שגיאה טיפוסית =

±V(1.252+0.252+0.3032+0.1522+12)=±1.655%

ה-LDO לא יעבור לעולם את השגיאה  במקרה הגרוע ביותר, בשעה ששגיאת ה-rss היא הסבירה ביותר. פיזור השגיאה יתרכז על שגיאת ה-rss ויתרחב כדי לכלול את השגיאה של המקרה הגרוע ביותר בדעיכה לאפס.

היענות מעבר לעומס

ההיענות לתופעות מעבר בעומס היא השינוי במתח המוצא עבור שינוי של צעד בזרם העומס. זוהי פונקציה של ערך קבל המוצא, ההתנגדות הטורית שוות-הערך (equivalent series resistance – ESR), רוחב-פס השבח של לולאת הבקרה של ה-LDO, והגודל וקצב הסבב (slew rate) של שינוי זרם העומס.

לקצב הסבב של תופעת המעבר של העומס יכולה להיות השפעה דרמטית על היענות המעבר של העומס. אם מעבר העומס הוא מאוד איטי, נומר 100 מילי-אמפר למיקרו-שנייה, לולאת הבקרה של ה-LDO עשויה להיות מסוגלת לעקוב אחר השינוי. אם, אולם, תופעת המעבר של העומס היא יותר מהירה מאשר הלולאה יכולה לפצות, התנהגות בלתי-רצויה כגון צלצול מוגזם בשל השוליים הנמוכים של המופע עשויה להתרחש.

איור 8 מראה את ההיענות של ה-ADM7172  לתופעת מעבר של העומס מ-1 מילי-אמפר עד 1.5 אמפר עם קצב סבב של 3.75 A/µs. זמן ההתאוששות של 1.5 מיקרו-שניות ל-0.1% וצלצול מינימאלי מצביע על שוליים טובים של המופע.

היענות לתופעת מעבר של הקו

תופעת מעבר של הקו היא שינוי מתח המוצא בגין שינוי צעד של מתח המבוא. זוהי פונקציה של השבח-רוחב-פס של לולאת הבקרה של ה-LDO, והממד וקצב הסבב של שינוי מתח המבוא.

איור 9 מראה את היענות ה-ADM7150 לשינוי של 2 וולט בצעד מתח המבוא. סטיית מתח המוצא מספקת מידע על רוחב-הפס של הלולאה וה-PSRR (ראה הפרק הבא). מתח המוצא משתנה בכ-2 מילי-וולט כתגובה על שינוי של 2 וולט ב-1.5 מיקרו-שניות, ומצביע על PSRR של כ-60 dB בכ-100 קילו-הרץ.

שוב, כמו במקרה של תופעת מעבר של העומס, לקצב הסבב של מתח המבוא יש השפעה גדולה על היענות תופעת המעבר של הקו המדומה. מתח מבוא המשתנה לאט, אחד הכלול יפה בתוך רוחב-הפס של ה-LDO, עשוי להסתיר צלצול או התנהגות בלתי-רצויה אחרת.

דחיית ספק-הכוח

בפשטות, PSRR הוא מדידה של המידה בה המעגל דוחה אותות חיצוניים (רעש וריצוד) על מבוא ספק-הכוח כדי להגן עליהם בפני השחתת המוצא. PSRR מוגדר כ:

PSRR=20 x log(VEIN/VEOUT)

כאשר VEIN ו-VEOUT הם אותות לא רצויים המופיעים במבוא ובמוצא בהתאמה.

עבור מעגלים כגון ADCs, DACs ומגברים, PSRR מתייחס למבואות המספקים הספק למעגל הפנימי. עם ה-LDOs, פין הספק המבוא מספק הספק למתח המוצא המבוקר כמו גם למעגל הפנימי. ל-PSRR יש אותו היחס כמו בקרת הקו dc, אבל כולל את כל ספקטרום התדרים.

דחיית ספק-הכוח בתחום של 100 קילו-הרץ עד 1 מגה-הרץ חשובה מאוד, מאחר שספקי-כוח במוד-מיתוג משמשים רבות במערכות הספק בעלות יעילות גבוהה, כאשר ה-LDO מטהר את פסי הספקת הרעש למען המעגל האנלוגי הרגיש.

לולאת הבקרה של ה-LDO נוטה להוות הגורם המכריע בקביעת דחיית ספק-הכוח. קבלים בעלי ערך גבוה, ESR נמוך יכולים לסייע, במיוחד בתדרים מתחת לרוחב-פס השבח של לולאת הבקרה.

PSRR בתלות בתדר

PSRR איננו מוגדר כערך יחיד מאחר שהוא תלוי בתדר. LDO מורכב ממתח ייחוס, מגבר שגיאה ומרכיב מעביר-הספק, כמו MOSFET  או טרנזיסטור דו-קוטבי. מגבר השגיאה מספק שבח dc כדי לבקר את מתח המוצא. שבח ה-ac של מגבר בשגיאה קובע במידה גדולה את ה-PSRR. LDO אופייני עשוי להציג עד 8 dB של PSRR ב-10 הרץ, אך ה-PSRR יכול לרדת עד כדי 20 dB בעשרות אחדות של קילו-הרץ.

איור 10 מראה את הקשר בין רוחב-פס השבח של מגבר השגיאה וה-PSRR. הדוגמה המפושטת מתעלמת מהתופעות הפרזיטיות מקבל המוצא ורכיב המעבר. ה-PSRR הוא הערך ההופכי של שבח הלולאה הפתוחה עד שהשבח מתחיל לרדת ב-3 קילו-הרץ. ה-PSRR יורד אזי ב-20 dB/decade עד שהוא מגיע ל-0 dB ב-3 מגה-הרץ ומעל זה.

איור 11 מציג שלושה תחומי תדר עיקריים המאפיינים  PSRR של LDO: תחום הייחוס של ה-PSRR, תחום השבח בלולאה פתוחה  ותחום קבל המוצא. תחום ייחוס ה-PSRR תלוי ב-PSRR של מגבר הייחוס ושבח הלולאה-הפתוחה של ה-LDO. באופן אידיאלי, מגבר הייחוס מבודד במלואו מהפרעות בספק-הכוח, אך למעשה, הייחוס צריך רק לדחות רעש של הספק עד לעשרות הרצים בודדים מאחר שמשוב מגבר השגיאה מבטיח PSRR גבוה בתדרים נמוכים.

 

מעל כ-10 הרץ, PSRR בתחום המשני נשלט על-ידי שבח הלולאה-הפתוחה של ה-LDO. ה-PSRR בתחום זה תלוי בשבח-רוחב-הספק של מגבר השגיאה עד לתדר של שבח יחידה. בתדרים נמוכים, שבח ה-ac של מגבר השגיאה שווה לשבח ה-dc. השבח נשאר קבוע עד שהוא מגיע לתדר ה-roll-off של 3-dB. בתדרים מעל נקודת ה-3-dBroll-off, שבח ה-ac של מגבר השגיאה פוחת עם התדר, לרוב ב-20 dB/decade.

מעל תדר שבח היחידה של מגבר השגיאה, למשוב של לולאת הבקרה  אין כל השפעה על ה-PSRR, הנקבע על-ידי קבל המוצא וכל מרכיב פרזיטי בין מתחי המבוא והמוצא. ה-ESR וה-ESL של קבל המוצא, כמו גם מערך הכרטיס, משפיעים רבות על ה-PSRR בתדרים אלה. יש לשים לב בזהירות למערך כדי להקטין את השפעת כל התהודות בתדר גבוה.

PSRR בתלות בזרם העומס

זרם העומס משפיע על השבח-רוחב הפס של לולאת המשוב של מגבר השגיאה, כך שהוא משפיע גם על ה-PSRR. בזרמי עומס קלים, אופיינית פחות מ-50 מילי-אמפר, עכבת המוצא של רכיב המעבר היא גבוהה. המוצא של ה-LDO נראה כמקור זרם אידיאלי  בשל המשוב השלילי של בקרת הלולאה. הקוטב הנוצר על-ידי קבל המוצא ורכיב המעבר מופיע בתדר נמוך יחסית, כך שה-PSRR שואף לגדול בתדרים נמוכים. שבח ה-dc הגבוה של דרגת המוצא בזרמים נמוכים גם שואף להגדיל את ה-PSRR בתדרים הרבה מתחת לנקודת אפס-השבח של מגבר השגיאה.

בזרמי עומס כבדים, מוצא ה-LDO נראה פחות  ממקור זרם אידיאלי. עכבת המוצא של רכיב המעבר פוחתת, מפחיתה את השבח של דרגת המוצא ומקטינה את ה-PSRR בין dc ותדר שבח היחידה  של לולאת המשוב. PSRR עשוי לרדת בצורה דרמטית כאשר זרם העומס עולה, כמתואר באיור 12. בשעה שהעומס עולה מ-400 מילי-אמפר ל-800 מילי-אמפר, ה-PSRR של ה-ADM7150 יורד ב-20 dB  ב-1 קילו-הרץ.

רוחב–הפס של דרגת המוצא עולה כאשר תדר קוטב המוצא עולה. בתדרים גבוהים, ה-PSRR אמור לעלות בשל רוחב-הפס העולה, אולם למעשה, ה-PSRR בעל התדר הגבוה עשוי לא להשתפר בשל הירידה בשבח הלולאה הכולל. ככלל, PSRR בעומסים קלים הוא טוב יותר מאשר בעומסים כבדים.

VOUT=5 V, VIN=6.2 V

PSRR כפונקציה של מרווח הגובה של ה-LDO

PSRR הוא גם פונקציה של הפרש המתח מבוא-למוצא, או מרווח הגובה. עבור מתח מרווח גובה קבוע, PSRR יורד כאשר זרם העומס עולה, דבר זה ברור במיוחד בזרמי עומס כבדים ומתחי מרווח גובה קטנים. איור 13 מראה את ההפרש ב-PSRR כנגד מתח מרווח הגובה עבור ADM 7172  5-וולט עם עומס של 2 אמפר.

ככל שזרם העומס עולה, שבח רכיב המעבר (PMOSFET עבור ה-ADM7172) יורד כאשר הוא נוטש את הרוויה ומגיע לתחום הטריודה של פעולה. דבר זה גורם לשבח הלולאה הכולל של ה-LDO לקטון, ויוצר PSRR נמוך יותר. ככל שמתח מרווחה הגובה הוא יותר קטן, כך היא יותר דרמטית ההפחתה בשבח. במתחי מרווח הגובה קטנים, ללולאת הבקרה אין כל שבח, וה-PSRR נופל עד לקרוב לאפס.

גורם אחר המפחית את שבח הלולאה הוא ההתנגדות הלא-אפסית של רכיב המעבר, RDSON. מפל המתח על פני ה-RDSON בשל זרם העומס מפחית ממרווח הגובה של החלק האקטיבי של רכיב המעבר. לדוגמה, עם רכיב מעבר של 1 אוהם, זרם עומס של 200 מילי-אמפר מפחית את מרווח הגובה ב-200 מילי-וולט. כאשר מפעילים LDOs במתחי מרווח גובה של 1 וולט או פחות, יש להתחשב במפל מתח זה כאשר מעריכים את ה-PSRR.

ב-dropout, ה-PSRR מחויב לקוטב הנוצר על-ידי ה-RDSON וקבל המוצא. בתדר מאוד גבוה, ה-PSRR יהיה מוגבל על-ידי יחס קבל המוצא ESR ל-RDSON.

השוואה בין מפרטי PSRR של LDO

כאשר משווים בין מפרטי PSRR של LDO, יש לוודא שהמדידות מבוצעות תחת אותם תנאי בדיקה. LDOs ישנים רבים מגדירים PSRR רק ב-120 הרץ או 1 קילו-הרץ מבלי לציין את מתח מרווח הגובה או זרם העומס. לכל הפחות, PSRR בטבלת מפרטי החשמל צריך להיות רשום עבור תדרים שונים. בצורה אידיאלית, יש להשתמש בעקומות אופייניות של PSRR במתחי עומס ומרווח גובה כדי לבצע השוואות בעלות משמעות.

קבל המוצא גם משפיע על ה-PSRR של LDO בתדר גבוה. לדוגמה, לקבל של 1 מיקרו-פרד יש עכבה פי עשר יותר גבוהה מאשר עכבה של קבל של 10 מיקרו-פרד. ערך הקבל חשוב במיוחד בתדרים מעל תדר ההצטלבות (crossover), כאשר ניחות רעש ספק-הכוח הוא פונקציה של קיבול המוצא. כאשר משווים ערכי PSRR, קבל המוצא צריך להיות מאותו סוג וערך כדי שההשוואה תהיה תקפה.

מתח רעש המוצא

מתח רעש המוצא הוא מתח רעש ה-rms לאורך תחום נתון של תדרים (אופייני 10 הרץ או 100 הרץ עד 100 קילו-הרץ) בתנאים של זרם מוצא קבוע ומתח מבוא ללא-ריצוד. המקורות העיקריים של רעש מוצא ב-LDOs הם מתח הייחוס הפנימי ומגבר השגיאה. LDOs חדישים פועלים עם זרמי מתחם פנימי של כמה עשרות ננו-אמפרים במטרה להשיג זרמי ריקם של 15 מיקרו-אמפר או פחות. זרמי מתחם נמוך אלה דורשים שימוש בנגדי מתחם של עד 1 גיגה-אוהם. רעש מוצא אופייני הוא בין 5 מיקרו-וולט עד 100 מיקרו-וולט rms. איור 14 מראה את רעש המוצא כנגד זרם העומס עבור ה-ADM7172.

LDOs אחדים, כגון ה-ADM7172, יכולים להשתמש במחלק נגדים חיצוני כדי לקבוע את מתח המוצא מעל נקודת ההתחלה, ומאפשר להתקן של 1.2 וולט לספק מוצא של 3.6 וולט, לדוגמה. ניתן להוסיף רשת הפחתת רעש  למחלק זה כדי להחזיר את רעש המוצא לרמה קרובה לזו של גרסת המתח הקבוע המקורית.

 

דרך אחרת לבטא את רעש המוצא של LDO היא הצפיפות הספקטראלית של הרעש. רעש ה-rms לאורך רוחב-פס של 1 הרץ בתדר נתון מוצג בתחום תדרים רחב. מידע זה יכול לשמש כדי לחשב את רעש ה-rms בתדר מסוים עבור רוחב-פס נתון. איור 15 מראה את הצפיפות הספקטראלית של הרעש מ-1 הרץ עד 10 מגה-הרץ עבור ה-ADM7172.

סיכום

LDOs  הם התקנים פשוטים לכאורה המספקים פונקציה קריטית. יש להתחשב בגורמים רבים כדי ליישם אותם נכון ולהשיג תוצאות מיוטבות. עם הבנה בסיסית של מושגי LDO המשמשים לרוב, מהנדס התכנון יכול לנווט בהצלחה בדף הנתונים כדי לקבוע את הפרמטרים החשובים ביותר עבור התכנון.

סימוכין

וסתים ליניאריים

References

Linear Regulators

Marasco, Ken. “How to Successfully Apply Low-Dropout

Regulators.” Analog Dialogue, Volume 43, Number 3, 2009.

Morita, Glenn and Luca Vassalli. “LDO Operational Corners:Low Headroom and Minimum Load.” Analog Dialogue   Volume 48, Number 3, 2014.

Morita, Glenn. “Noise-Reduction Network for AdjustableOutput Low-Dropout Regulators.” Analog Dialogue, Volume 48, Number 1, 2014.

Morita, Glenn. “Low-Dropout Regulators—Why the Choice

of Bypass Capacitor Matters.” Analog Dialogue, Volume 45 Number 1, 2011.

Patoux, Jerome. “Low-Dropout Regulators.” Analog Dialogue,

Volume 41, Number 2, 2007.

על המחבר:

Glenn Moritz קיבל תואר B.S.E.E. מ-Washington State University  ב-1976. ב-2007 הוא הצטרף ל-ADI כמהנדס יישומים בקבוצת -Power Management Products  ב-Bellevue, WA.

Glenn Moritz, Analog Devices

תגובות סגורות